欢迎使用金字塔普通技术服务论坛,您可以在相关区域发表技术支持贴。
我司技术服务人员将优先处理 VIP客服论坛 服务贴,普通区问题处理速度慢,请耐心等待。谢谢您对我们的支持与理解。


金字塔客服中心 - 专业程序化交易软件提供商金字塔软件金字塔软件问题提交 → 请教一下技术人员,STD函数金字塔用的算法具体是怎样的

   

欢迎使用金字塔普通技术服务论坛,您可以在相关区域发表技术支持贴。
我司技术服务人员将优先处理 VIP客服论坛 服务贴,普通区问题处理速度慢,请耐心等待。谢谢您对我们的支持与理解。    


  共有3135人关注过本帖树形打印复制链接

主题:请教一下技术人员,STD函数金字塔用的算法具体是怎样的

帅哥哟,离线,有人找我吗?
xgrei
  1楼 | 信息 | 搜索 | 邮箱 | 主页 | UC


加好友 发短信
等级:新手上路 帖子:12 积分:40 威望:0 精华:0 注册:2013/4/25 21:28:04
请教一下技术人员,STD函数金字塔用的算法具体是怎样的  发帖心情 Post By:2013/5/27 15:23:39 [只看该作者]

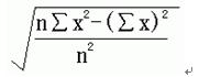
我已经做过实验,验证了跟一般书上的估算标准差似乎有微小的出入,我想知道具体算法是如何的,这样方便改进系统,谢谢了
图片点击可在新窗口打开查看此主题相关图片如下:0915283.jpg
图片点击可在新窗口打开查看

 回到顶部
帅哥哟,离线,有人找我吗?
jinzhe
  2楼 | 信息 | 搜索 | 邮箱 | 主页 | UC


加好友 发短信
等级:罗宾汉 帖子:46311 积分:50819 威望:0 精华:2 注册:2011/3/23 8:50:25
  发帖心情 Post By:2013/5/27 15:33:00 [只看该作者]

这个算法是参照EXCEL中的STD算的,可以参考EXCEL中的函数


金字塔—专业程序化交易量化投资平台

客户服务部

----------------------------------------------------------- 欢迎您参加我公司的技术培训,具体培训需求请发邮件到service@weistock.com

您的宝贵建议或者投诉,请发往邮箱:weiwei@weistock.com

 回到顶部
帅哥哟,离线,有人找我吗?
xgrei
  3楼 | 信息 | 搜索 | 邮箱 | 主页 | UC


加好友 发短信
等级:新手上路 帖子:12 积分:40 威望:0 精华:0 注册:2013/4/25 21:28:04
  发帖心情 Post By:2013/5/27 19:43:08 [只看该作者]

好的,金字塔算法是分母为n(n-1),问题解决

 回到顶部