欢迎使用金字塔普通技术服务论坛,您可以在相关区域发表技术支持贴。
我司技术服务人员将优先处理 VIP客服论坛 服务贴,普通区问题处理速度慢,请耐心等待。谢谢您对我们的支持与理解。


金字塔客服中心 - 专业程序化交易软件提供商金字塔软件金字塔软件问题提交 → 会跳舞的金字塔数据

   

欢迎使用金字塔普通技术服务论坛,您可以在相关区域发表技术支持贴。
我司技术服务人员将优先处理 VIP客服论坛 服务贴,普通区问题处理速度慢,请耐心等待。谢谢您对我们的支持与理解。    


  共有5657人关注过本帖树形打印复制链接

主题:会跳舞的金字塔数据

帅哥哟,离线,有人找我吗?
wide
  1楼 | 信息 | 搜索 | 邮箱 | 主页 | UC


加好友 发短信
等级:论坛游侠 帖子:522 积分:1801 威望:0 精华:0 注册:2010/6/1 23:10:28
会跳舞的金字塔数据  发帖心情 Post By:2013/5/30 9:25:24 [只看该作者]

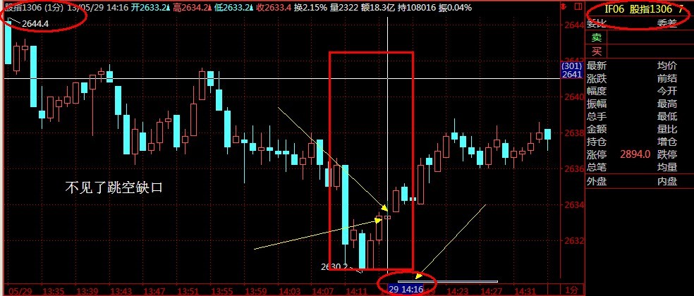
 前面,我一直在反映,金字塔的数据会“变”,使得我的交易在盘中、盘后(做收盘动作以后)会不一样。
由于我是用扩展统计数据(大单流向)做为开仓条件,它一直不稳定,我也一直在反映,希望能将扩展统计数据,由本机统计,改回到服务统计,实现推送服务。(翻一下,历史贴子,这个问题多次提到)但是一直得不到好和响应。说是股票数据不是关注重点。

今天我再发现,盘中和盘后(做收盘动作以后)模型收益情况不一样,仔细看,原来,不只是我关心的扩展统计数据在跳动,连K线数据也“跳舞”,让我无语了。

谁来解释一下如下现象。环境声明:

1、此2图是分别从两台机器上截取,且两机器的盘中数据是一样的(因为我在实盘,所以一直是在盯盘的)
2、一图中的跳空情况,是由于进行了盘后的“收盘做业后”产生的。收盘作业,是金字塔自动进行人,绝沒有人为因素干扰。
3、盘中盘后,没有断电、掉网,宕机等意外发生。(等客服关心的其它人为因素)


图片点击可在新窗口打开查看此主题相关图片如下:01.jpg
图片点击可在新窗口打开查看


图片点击可在新窗口打开查看此主题相关图片如下:02.jpg
图片点击可在新窗口打开查看





 回到顶部
帅哥哟,离线,有人找我吗?
lichenghu
  2楼 | 信息 | 搜索 | 邮箱 | 主页 | UC


加好友 发短信
等级:超级版主 帖子:5895 积分:3774 威望:0 精华:0 注册:2012/1/1 0:00:01
  发帖心情 Post By:2013/5/30 9:33:03 [只看该作者]

您好,您图一链接的是那个行情服务器?盘中是那个图?
[此贴子已经被作者于2013-5-30 9:33:36编辑过]


金字塔—专业程序化交易量化投资平台

客户服务部

-----------------------------------------------------------

欢迎您参加我公司的技术培训,具体培训需求请发邮件到service@weistock.com

您的宝贵建议或者投诉,请发往邮箱:weiwei@weistock.com
 回到顶部
帅哥哟,离线,有人找我吗?
wide
  3楼 | 信息 | 搜索 | 邮箱 | 主页 | UC


加好友 发短信
等级:论坛游侠 帖子:522 积分:1801 威望:0 精华:0 注册:2010/6/1 23:10:28
  发帖心情 Post By:2013/5/30 9:43:50 [只看该作者]

 我是光网连的"天津网通"服务器.   盘中的也是一样。

说明一下, 在盘中,两台机器都是天津网通,而且都是一样的。

只是收盘作业后,一台变了。

我想问一下,收盘作业,做了什么工作,已经写入我计算机(内存或硬盘)的数据,怎么一做收盘作业,会变?

 回到顶部
帅哥哟,离线,有人找我吗?
RogarZ
  4楼 | 信息 | 搜索 | 邮箱 | 主页 | UC


加好友 发短信
等级:超级版主 帖子:3534 积分:10003 威望:0 精华:5 注册:2012/5/25 0:00:01
  发帖心情 Post By:2013/5/30 9:50:49 [只看该作者]

哪组服务器  天津网通1 还是2  还是一台1 一台2


金字塔—专业程序化交易量化投资平台

产品部

-----------------------------------------------------------

欢迎您参加我公司的技术培训,具体培训需求请发邮件到service@weistock.com

您的宝贵建议或者投诉,请发往邮箱:weiwei@weistock.com
 回到顶部
帅哥哟,离线,有人找我吗?
lichenghu
  5楼 | 信息 | 搜索 | 邮箱 | 主页 | UC


加好友 发短信
等级:超级版主 帖子:5895 积分:3774 威望:0 精华:0 注册:2012/1/1 0:00:01
  发帖心情 Post By:2013/5/30 9:52:27 [只看该作者]

您好,盘中是实时数据是那幅图?我查看了天津网通服务器。没有图一这种情况。收盘是将本地分笔数据生成周期数据,分笔缺失就会导致数据生成错误。


金字塔—专业程序化交易量化投资平台

客户服务部

-----------------------------------------------------------

欢迎您参加我公司的技术培训,具体培训需求请发邮件到service@weistock.com

您的宝贵建议或者投诉,请发往邮箱:weiwei@weistock.com
 回到顶部
帅哥哟,离线,有人找我吗?
RogarZ
  6楼 | 信息 | 搜索 | 邮箱 | 主页 | UC


加好友 发短信
等级:超级版主 帖子:3534 积分:10003 威望:0 精华:5 注册:2012/5/25 0:00:01
  发帖心情 Post By:2013/5/30 9:52:40 [只看该作者]

当日的数据来自分笔,有很简单的判断方式   品种鼠标右击  分笔数据 查看本地的分笔是否是全  

全的情况下 收盘错误  我们查原因

不全的情况下  收盘错误 属正常现象。

[此贴子已经被作者于2013-5-30 9:54:23编辑过]


金字塔—专业程序化交易量化投资平台

产品部

-----------------------------------------------------------

欢迎您参加我公司的技术培训,具体培训需求请发邮件到service@weistock.com

您的宝贵建议或者投诉,请发往邮箱:weiwei@weistock.com
 回到顶部
帅哥哟,离线,有人找我吗?
wide
  7楼 | 信息 | 搜索 | 邮箱 | 主页 | UC


加好友 发短信
等级:论坛游侠 帖子:522 积分:1801 威望:0 精华:0 注册:2010/6/1 23:10:28
  发帖心情 Post By:2013/5/30 10:04:29 [只看该作者]

 两张图,都是连的天津网通一,没有跳空缺口的,盘后与盘中一样,有跳空的,是盘后变的。我就的盘后,就是收盘后。

 回到顶部
帅哥哟,离线,有人找我吗?
wide
  8楼 | 信息 | 搜索 | 邮箱 | 主页 | UC


加好友 发短信
等级:论坛游侠 帖子:522 积分:1801 威望:0 精华:0 注册:2010/6/1 23:10:28
  发帖心情 Post By:2013/5/30 10:09:19 [只看该作者]

以下是引用RogarZ在2013-5-30 9:52:40的发言:

当日的数据来自分笔,有很简单的判断方式   品种鼠标右击  分笔数据 查看本地的分笔是否是全  

全的情况下 收盘错误  我们查原因

不全的情况下  收盘错误 属正常现象。

[此贴子已经被作者于2013-5-30 9:54:23编辑过]


您说更具体一点,我盘后查一下分笔数据,刚好现象还在。


“品种鼠标右击  分笔数据 查看本地的分笔是否是全   全的情况下”----------------更具体一些操作
我是股指期货


 回到顶部
帅哥哟,离线,有人找我吗?
RogarZ
  9楼 | 信息 | 搜索 | 邮箱 | 主页 | UC


加好友 发短信
等级:超级版主 帖子:3534 积分:10003 威望:0 精华:5 注册:2012/5/25 0:00:01
  发帖心情 Post By:2013/5/30 10:13:42 [只看该作者]

以下是引用wide在2013-5-30 10:04:29的发言:
 两张图,都是连的天津网通一,没有跳空缺口的,盘后与盘中一样,有跳空的,是盘后变的。我就的盘后,就是收盘后。

还麻烦您检查下本地的分笔是否全 ,我并不怀疑您对金字塔使用的熟练程度,只是我们没法重现您的问题,找不到现象无法解决,还请配合下

[此贴子已经被作者于2013-5-30 10:14:01编辑过]


金字塔—专业程序化交易量化投资平台

产品部

-----------------------------------------------------------

欢迎您参加我公司的技术培训,具体培训需求请发邮件到service@weistock.com

您的宝贵建议或者投诉,请发往邮箱:weiwei@weistock.com
 回到顶部
帅哥哟,离线,有人找我吗?
wide
  10楼 | 信息 | 搜索 | 邮箱 | 主页 | UC


加好友 发短信
等级:论坛游侠 帖子:522 积分:1801 威望:0 精华:0 注册:2010/6/1 23:10:28
  发帖心情 Post By:2013/5/30 10:17:55 [只看该作者]

 没有问题,配合查问题也是我们的责任。

本地的分笔是否全============ 这个怎么查,请详细讲一下。

 回到顶部
总数 19 1 2 下一页