欢迎使用金字塔普通技术服务论坛,您可以在相关区域发表技术支持贴。
我司技术服务人员将优先处理 VIP客服论坛 服务贴,普通区问题处理速度慢,请耐心等待。谢谢您对我们的支持与理解。


金字塔客服中心 - 专业程序化交易软件提供商金字塔软件金字塔软件问题提交 → 数据混乱的问题

   

欢迎使用金字塔普通技术服务论坛,您可以在相关区域发表技术支持贴。
我司技术服务人员将优先处理 VIP客服论坛 服务贴,普通区问题处理速度慢,请耐心等待。谢谢您对我们的支持与理解。    


  共有3034人关注过本帖树形打印复制链接

主题:数据混乱的问题

帅哥哟,离线,有人找我吗?
安公子
  1楼 | 信息 | 搜索 | 邮箱 | 主页 | UC


加好友 发短信
等级:新手上路 帖子:49 积分:0 威望:0 精华:0 注册:2017/3/13 10:53:00
数据混乱的问题  发帖心情 Post By:2017/11/8 11:22:41 [只看该作者]

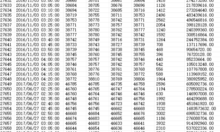
标准版用户,数据补充的5分钟数据,也就下载了近一年的,很多品种怎么那么多的时间混乱,还有数据重复雷同的。

分别试过一键补充,还试过分品种自定义补充,都这样啊?!
图片点击可在新窗口打开查看此主题相关图片如下:qq截图20171108111648.png
图片点击可在新窗口打开查看

 


图片点击可在新窗口打开查看此主题相关图片如下:qq截图20171108111540.png
图片点击可在新窗口打开查看

 回到顶部
帅哥哟,离线,有人找我吗?
安公子
  2楼 | 信息 | 搜索 | 邮箱 | 主页 | UC


加好友 发短信
等级:新手上路 帖子:49 积分:0 威望:0 精华:0 注册:2017/3/13 10:53:00
  发帖心情 Post By:2017/11/8 11:23:48 [只看该作者]

如何,下载准确的数据呢,或者解决这一问题?

 回到顶部
帅哥哟,离线,有人找我吗?
banzhuan
  3楼 | 信息 | 搜索 | 邮箱 | 主页 | UC


加好友 发短信
等级:超级版主 帖子:16558 积分:0 威望:0 精华:0 注册:2017/6/1 10:24:09
  发帖心情 Post By:2017/11/8 11:24:55 [只看该作者]

退出软件后,把金字塔安装目录下的data文件夹都删除,重新补充一下5分钟数据;

 回到顶部